ALCOOL : L’excès à l’adolescence mène aux problèmes de foie à l'âge adulte
Selon le rapport de 2014 de l'Organisation mondiale de la Santé (OMS), la cirrhose liée à l'alcool est responsable de près de 500.000 décès chaque année. Bien qu'il n'y ait pas de traitement approuvé, les maladies liées à l'alcool sont évitables à 100%. Cette étude du Karolinska Institute (Suède) confirme que la consommation d'alcool chez les adolescents est un prédicteur majeur du risque de maladie du foie plus tard dans la vie. Des données présentées dans le Journal of Hepatology qui appellent à revoir concrètement les recommandations de consommation d'alcool.
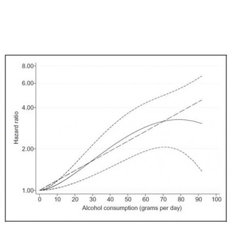
L'alcool est la principale cause de cirrhose du foie et de décès lié à la maladie hépatique. Cette étude longitudinale confirme que boire à la fin de l'adolescence constitue la première étape vers des problèmes hépatiques à l'âge adulte. L’étude modélise à partir de 39 années de suivi le risque de maladie hépatique en fonction de la consommation d'alcool à l’adolescence (schéma ci-dessous).
Cette étude rétrospective a porté sur 43.293 jeunes hommes âgés de 18 à 10 ans, avec l’objectif d’évaluer l'association entre l'alcool à l’adolescence et le développement ultérieur de maladie hépatique sévère. Les résultats ont été ajustés en fonction des facteurs de confusion possibles, dont l'indice de masse corporelle, les médicaments, la capacité cognitive et cardiovasculaire. L’analyse des données montre que :
- la consommation d'alcool tôt dans la vie est bien associée à un risque accru de maladie hépatique sévère à l’âge adulte ;
- après 39 ans de suivi, 383 hommes avaient développé une maladie hépatique sévère (cirrhose du foie, carcinome hépatocellulaire, ascite, varices œsophagiennes, syndrome hépatorénal ou encéphalopathie hépatique), une insuffisance hépatique ou était décédés de maladie hépatique ;
- le risque s’avère dose-dépendant, sans effet de seuil et plus prononcé chez les hommes consommant 2 verres par jour, soit environ 20 grammes d’alcool, ou plus ;
- avant ajustement pour l’IMC, le tabagisme, les médicaments, la santé cardiovasculaire et la capacité cognitive, le risque s’élève à partir d’une consommation quotidienne d'alcool de 6 grammes par jour.
- Ces résultats ne sont valables que pour les hommes et doivent encore être validés chez les femmes.
Les seuils recommandés dans la plupart des pays suggèrent que la consommation d'alcool reste sans danger pour les hommes en deçà de 30 grammes par jour, soit jusqu’à 3 verres par jour. Cette étude qui confirme la consommation d'alcool à la fin de l'adolescence comme un facteur majeur de risque de cirrhose plus tard dans la vie engage à revoir et abaisser les seuils de consommation d'alcool chez les hommes (et peut-être chez les femmes aussi) soulignent les chercheurs.
Bref, l’étude ajoute aussi simplement aux risques de la consommation chronique d'alcool au plus jeune âge.
Autres actualités sur le même thème
ADDICTIONS : Le médicament qui pourrait guérir des mauvaises et préserver les bonnes
Actualité publiée il y a 10 mois 3 semainesVAPOTAGE et SEVRAGE : Pourquoi, comment
Actualité publiée il y a 1 année 4 semainesLe TABAGISME, l'ennemi juré de la cicatrisation
Actualité publiée il y a 8 années 9 moisOBÉSITÉ et TABAGISME maternels : Des facteurs majeurs d’obésité pour l’enfant
Actualité publiée il y a 5 mois 4 semaines



