DÉPRESSION: Les omega-3 efficaces en complément des antidépresseurs
La dépression touche environ 350 millions de personnes dans le monde, le rôle possible de certains facteurs alimentaires pouvant réduire le risque devrait être mieux connus. Et parmi ces facteurs, les omega-3 : manger beaucoup de poisson peut contribuer à freiner le risque de dépression, avait récemment conclu une large méta-analyse de 26 études impliquant plus de 150.000 participants. Cette nouvelle méta-analyse, publiée dans la revue Translational Psychiatry, qui porte précisément sur les effets d’une supplémentation, vient confirmer l’action bénéfique de ces acides gras à longue chaîne.
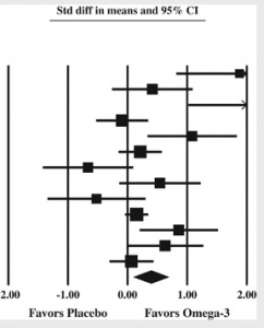
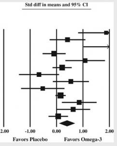
Cette nouvelle méta-analyse soutient ainsi le lien entre supplémentation en omega-3 (EPA et DHA) et réduction du trouble dépressif majeur. Menée à partir de 13 études, portant au total sur 1.233 participants, l'analyse accorde même l'avantage aux omega-3, avec des effets rapportés a minima similaires à ceux obtenus avec les antidépresseurs, en cas de traitement antidépresseur.
Ø Et l'effet le plus significatif est constaté dans les études portant sur les doses les plus élevées d'EPA et chez des patients déjà sous antidépresseurs.
Cependant, si l'analyse montre un effet global bénéfique des AGPI oméga-3 sur les symptômes dépressifs, elle révèle aussi l'hétérogénéité significative des résultats : ceux-ci dépendent en effet de la dose EPA, de la prise d'un traitement antidépresseurs (et également de l'année de publication des études prises en compte).
Plus d'efficacité des EPA combinés aux antidépresseurs : Le Dr Roel JT Mocking, psychiatre à l'Université d'Amsterdam et auteur principal de l'étude, commente ces résultats : « Les suppléments oméga-3 peuvent être particulièrement efficaces lorsqu'ils sont fortement titrés en EPA (l'acide éicosapentaénoïque) et chez les patients déprimés sous antidépresseurs. C'est une nouvelle étape pour personnaliser le traitement de la dépression et d'autres troubles ». L'étude souligne ainsi l'importance des oméga-3 pour la santé et le bien-être, et soutient la preuve du lien entre oméga-3 et dépression. Cependant les auteurs concluent : dans l'esprit d'une médecine de précision, de nouvelles études devraient regarder si les interactions possibles entre l'EPA et les antidépresseurs peuvent permettre d'identifier des cibles pour améliorer la réponse aux antidépresseurs. Enfin, les effets de fortes doses d'EPA en suppléments doivent également être soigneusement contrôlés pour leurs effets secondaires possibles à long terme.
Bref, la supplémentation peut être efficace, mais n'est pas anodine.
Autres actualités sur le même thème
MALADIE MENTALE : Mobiliser les réseaux sociaux contre la discrimination
Actualité publiée il y a 1 année 8 moisHORLOGE BIOLOGIQUE : Les astrocytes, ces étoiles gardiennes du temps
Actualité publiée il y a 8 années 10 moisLANGAGE CORPOREL : Et si le sourire était plus qu’un outil d’interaction sociale ?
Actualité publiée il y a 7 années 2 moisPARKINSON : Le farnésol des fruits pour traiter la maladie
Actualité publiée il y a 4 années 6 mois



