L'OBÉSITÉ INFANTILE c’est aujourd’hui 124 millions d’enfants obèses dans le monde
Si de nombreux enfants d'Afrique et d'Asie souffrent de malnutrition et d’insuffisance pondérale dans les pays riches, l’obésité infantile prend de l’ampleur et ce ne sont aujourd’hui pas moins de 124 millions d'enfants qui souffrent d’obésité dans le monde, rapporte cette étude menée chez les enfants de 200 pays, pilotée par une équipe de l'Imperial College de Londres et publiée dans le Lancet. L’épidémie du siècle puisque la prévalence de l’obésité infantile a été multipliée par plus de 6 en 40 ans. Face à la violence de cette épidémie, le recul de la malnutrition semble minime et 192 millions d'enfants restent gravement ou modérément sous-pondérés.
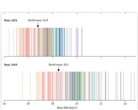
Ainsi, le taux d’obésité chez l’enfant de moins de 1% en 1975 atteint aujourd’hui (2016) 5,6% chez les filles et le taux record de 7,8% chez les garçons. En regard, si le nombre d'enfants souffrant d'insuffisance pondérale grave ou modérée diminue à l’échelle mondiale, cette réduction est bien plus lente, soit de 9,2% à 8,4% chez les filles et de 14,8% à 12,4% chez les garçons, sur la même période.
Il s’agit ici d’une méta-analyse d'études de mesures de la taille et du poids, basées en population générale, et menées dans 200 pays dans le monde. Les chercheurs ont comparé les données provenant au total de 2.416 sources et portant sur 31,5 millions d'enfants âgés de 5 à 19 ans. A partir des données d'indice de masse corporelle (IMC), les chercheurs ont réparti les enfants en 5 catégories, allant de l'insuffisance pondérale à l'obésité sévère.
2 tendances majeures se dégagent : dans les pays riches, l’obésité semble avoir atteint un pic il y a une dizaine d’années et semble depuis se stabiliser. En revanche, certains pays à revenu moyen et faible semblent gagnés par l’épidémie, car si l'insuffisance pondérale recule, le surpoids « explose ».
L’augmentation de l'obésité plus rapide que la diminution de la sous-pondération :
- En 1975, 0,7% des filles et 0,9% de garçons étaient obèses, en 2016, c’est le cas de 5,6% des filles et de 7,8% de garçons : soit au total 50 millions de filles et 74 millions de garçons.
- En 1975, 9,2% des filles et 14,8% de garçons étaient en insuffisance pondérale, en 2016, c’est le cas de 8,4% des filles et de 12,4% des garçons.
- Les régions du monde où la prévalence de l’obésité infantile est la plus élevée comprennent la Polynésie et la Micronésie (Pacifique) où les taux d’obésité infantile avoisinent les 25%. On citera également les taux élevés relevés au Royaume-Uni, en Amérique du Nord, en Australie et en Nouvelle-Zélande, soit autour de 20%.
- Ainsi, l’obésité gagne du terrain, en particulier dans les pays en développement et semble être plutôt sous contrôle dans les pays riches, mais sans grand espoir de « retour en arrière ». Des tendances qui suggèrent que les politiques publiques de lutte contre l’obésité arrivent à leur seuil d’efficacité maximum et que seule une prise de conscience au niveau des familles et des individus sera désormais capable de juguler cette augmentation.
Génération obèse, génération compromise : on ne peut que rappeler à la lecture de ces chiffres impressionnants que les enfants qui souffrent de surpoids ou d'obésité courent un risque plus élevé de développer des maladies chroniques à l'âge adulte, comme le diabète de type 2 et certains types de cancer. Et c’est sans compter les risques d’intimidation, de perte d’estime de soi et de troubles du comportement durant l’enfance. Cependant l’obésité a ses facteurs de risque évitables.
On retient enfin que près de 200 millions d'enfants souffrent d'insuffisance pondérale avec, pour eux aussi, une souffrance durant l’enfance et une santé compromise.
Autres actualités sur le même thème
OBÉSITÉ et PERTE de POIDS : Le tirzepatide fait perdre plus de 25 % du poids corporel
Actualité publiée il y a 2 années 7 moisOBÉSITÉ : Même un tout petit peu d'exercice physique réduit le risque cardiométabolique
Actualité publiée il y a 9 années 4 moisPERTE de POIDS: L'embolisation artérielle bariatrique, la nouvelle procédure peu invasive
Actualité publiée il y a 10 années 2 moisOBÉSITÉ: Comment un IMC élevé est associé à une performance cognitive réduite
Actualité publiée il y a 9 années 7 mois



